Mandler 35 mm f/2 redonne vie à un objectif Leica classique et propose un boîtier métallique de 138 g à bas prix

Le Leica Summicron-M 35 mm f/2 Type 4, également connu sous le nom de "Roi du Bokeh", se vend encore à plus de 1 000 dollars d'occasion, et en bon état, certains revendeurs demandent plus de 2 000 dollars pour cet objectif qui a été fabriqué par Leica entre 1979 et 1996.
Top 10
» Le Top 10 des PC portables multimédia
» Le Top 10 des PC portables de jeu
» Le Top 10 des PC portables de jeu légers
» Le Top 10 des ordinateurs portables bureautiques
» Le Top 10 des PC portables bureautiques premium/professionnels
» Le Top 10 des Stations de travail mobiles
» Le Top 10 des Ultraportables
» Le Top 10 des Ultrabooks
» Le Top 10 des Convertibles
» Le Top 10 des Tablettes
» Le Top 10 des Tablettes Windows
» Le Top 10 des Smartphones
» Le Top 10 des PC Portables á moins de 300 euros
» Le Top 10 des PC Portables á moins de 500 euros
» Le Top 25 des meilleurs écrans d'ordinateurs
L'objectif conçu par Walter Mandler, ingénieur optique chez Leica, a toujours des adeptes en raison de l'aspect inhabituel qu'il produit. Une entreprise chinoise a maintenant copié l'objectif et, de la conception du boîtier à la structure optique, cette nouvelle version semble très proche de l'original, sauf que la réplique est proposée à un prix beaucoup plus bas. Malgré ce prix inférieur, le boîtier est en aluminium. L'objectif ne mesure qu'environ 1,3 pouce de long et pèse 4,9 onces, et une version en laiton est également proposée avec un poids de 7,4 onces.
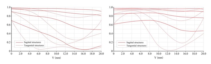
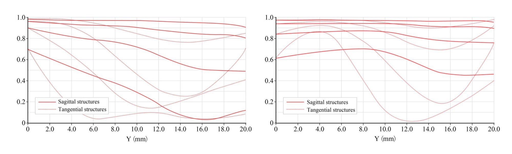
La conception de sept éléments en cinq groupes a été légèrement modifiée pour offrir une meilleure qualité d'image lorsqu'il est associé à des capteurs numériques. Cependant, comme le montrent les courbes MTF du fabricant, l'objectif, comme l'original, présente une courbure de champ prononcée, de sorte que le centre et les coins de l'image sont rendus plus nets que la zone intermédiaire. Même au centre, l'objectif n'est pas particulièrement net lorsqu'il est utilisé à grande ouverture.
Prix et disponibilité
L'objectif Mandler 35 mm f/2.0 "7 Elements" plein format est disponible dès maintenant sur la boutique en ligne du fabricant https://mandler.shop/products/mandler-35mm-f2-7-elements-aluminum#product-descriptionsoit avec une monture Leica M pour 348 $, soit avec une monture à vis LTM pour 378 $. La version argentée coûte 30 $ de plus, et des ensembles d'accessoires comprenant un parasoleil sont également disponibles moyennant un supplément. La version Leica M est actuellement en rupture de stock, mais devrait être à nouveau disponible en mars. L'expédition depuis la Chine est gratuite, mais les prix n'incluent pas les éventuels frais d'importation.

















